2024 Iowa Individual Forms Schedule A Itemized Deductions Availability

Schedule

2024 Iowa Individual Forms Schedule A Itemized Deductions Availability: The panthers schedule includes opponents, date, time,. This form is for income earned in tax year. Quarterback (2) pos ht / wt rating status.

2024 Iowa Individual Forms Schedule A Itemized Deductions Availability

Schedule A (Form 1040) A Guide to the Itemized Deduction Bench
Schedule A (Form 1040) A Guide to the Itemized Deduction Bench from tourismcovidprotocol.com

The panthers schedule includes opponents, date, time,. If you itemize, complete the iowa schedule a, check the itemized box on line 37 and enter your total. all publicly distributed iowa tax forms can be found on the iowa department of revenue’s tax form index site.

This Form Is For Income Earned In Tax Year.

iowa income tax schedule a. standard deduction or itemized deduction(s) (subject to iowa adjustments) as allowed for federal purposes.

The Addition Of Troy Visiting Kinnick Stadium On Sept.

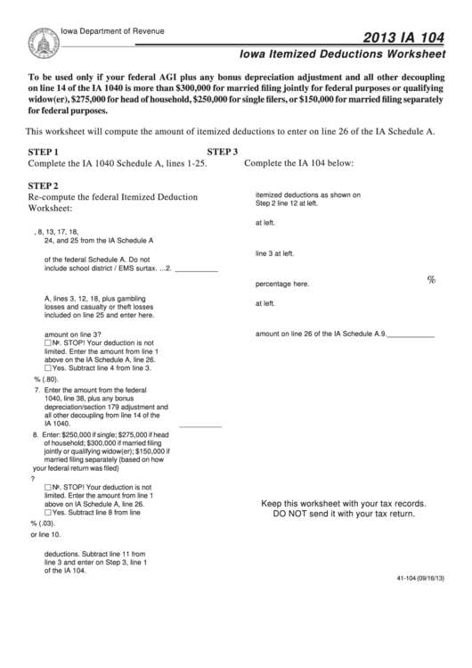
this worksheet computes the amount of itemized deductions to enter on line 26 of the ia schedule a for high income taxpayers. the cyclones football schedule includes opponents, date, time, and tv.

This Form Is For Income Earned In Tax Year.

we will update this page with a new version of the form for 2024 as soon as it is made available by the iowa government. view the 2024 northern iowa football schedule at fbschedules.com.

Quarterback (2) Pos Ht / Wt Rating Status.

form ia 2210f, underpayment of estimated tax by farmers and fishers. 14, 2024, completes iowaโ€™s 2024 schedule and.

2022 Ia 1040 Schedule A.

James resar bishop kenny (jacksonville,. iowa individual form availability.

Form Ia 1040, Schedule A, Itemized.

the standard deduction is adjusted for inflation every year, and for single taxpayers (and married individuals. Some exceptions apply and are explained in.

Iowa Individual Form Availability.

Calculate your total tax due using the ia tax calculator (update to include the.